本页导航
广告链接
螺栓的扭紧和放松
控制螺栓预紧力的方法
| 控制方法 | 特点和应用 | ||
|---|---|---|---|
| 感觉法 | 靠操作者在扭紧时的感觉和经验,扭紧4.6级螺栓施加在扳手上的拧紧力F如下表: | ||
| 螺纹大径 | 拧紧力F | 操作要领 | |
| M6 | 45N | 只加腕力 | |
| M8 | 70N | 加腕力和肘力 | |
| M10 | 130N | 加全手臂力 | |
| M12 | 180N | 加上半身力 | |
| M16 | 320N | 加全身力 | |
| M20 | 500N | 加上全身重量 | |
| 最经济简单,一般认为对有经验的操作者误差可达±40%。用于普通的螺纹连接 | |||
| 力矩法 | 用测力矩扳手或定力矩扳手控制预紧力,是国内外长期以来应用广泛的控制预紧力的方法。费用较低,一般认为误差有±25%。若表面有涂层,支撑面、螺纹表面质量较好,力矩扳手示值准确,则误差可显著减小。用润滑的控制效果较好 | ||
| 测量螺栓伸长法 | 用于螺栓在弹性范围内时的预紧力控制。误差在±(3~5)%,使用麻烦,费用高。用于特殊需要的场合 | ||
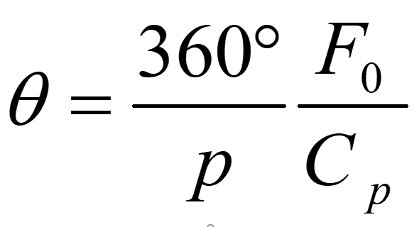
| 螺母转角法 |
螺旋预紧达到预紧力F0时所需的螺母转角θ由下式求得:![]() 式中 p──螺距 Cp──-螺栓的刚度(N/mm) 采用此法,需先把螺栓副拧紧到“密贴”位置,再转过角度θ。误差±15%。在美国和德国的汽车工业和钢结构中广泛使用 |
||
| 应变计法 | 螺栓的无螺纹部分贴电阻应变片,以控制螺钉杆所受拉力。误差可控制在±1%以内,但费用昂贵 | ||
| 螺栓预胀法 | 对于较大的螺栓,如汽轮机螺栓,用电阻加热到一定温度扭上螺母(不预紧),冷却后即产生预紧力。控制加热温度即可控制预紧力 | ||
| 液压拉伸法 | 用专门的液压拉伸装置拉伸螺栓到一定轴向力,拧上螺母后,除去外力即可得到预期力预紧力 | ||
螺纹连接常用的防松方法
机械锁固型
| 结构 | 特点及应用 |
|---|---|
螺杆带孔和开槽螺母配开口销
|
适用于变载、振动场合的重要部位连接的防松,性能可靠,设计及装配不便。航空、汽车及拖拉机等工业普遍采用,但不适用于双头螺柱的防松方法 |
普通螺杆和螺母配开口销
|
装配时,拧紧螺母后配钻;开口销孔可参照GB 5278表1选用。适用于单件生产的重要连接,但不适用于高强度紧固件连接及双头螺柱 |
头部带孔螺栓穿金属丝
|
用低碳钢丝穿入成组的螺栓头部金属丝孔,可相互制约,防松可靠,安装时应注意钢丝走向。图示仅适用于右旋螺纹;也适用于双头螺柱的防松 |
|
一般用低碳钢制成的单耳(GB 854)或双耳(GB 855)、或外舌(GB 856)止动垫圈将螺栓六角头或螺母固定于被连接件上,防松可靠,但要求有一定的安装空间 |
自由旋转型
| 结构 | 特点及应用 |
|---|---|
弹簧垫圈
|
依靠弹簧垫圈在压平后产生的弹力及其切口尖角嵌入被连接件及紧固件支承面起防松作用。结构简单、成本低、使用简便 GB 93、GB 859等传统使用的弹簧垫圈,由于弹力不均,也不十分可靠,多用于不甚重要的连接。对连接表面不允许划伤和经常拆卸的场合不宜选用 GB 7245、GB 7246等鞍形或波形弹簧垫圈则可明显改善一般弹簧垫圈之不足 |
双螺母
|
两个螺母对顶拧紧,使螺栓在旋合段内受拉而螺母受压,构成螺纹连接副纵向压紧。正确的安装方法为:先用规定的拧紧力矩的80%拧紧下面的螺母,再用100%的拧紧力矩拧紧上面的螺母;下面的螺母螺纹牙只受对顶力,其高度可以减小,一般用薄螺母;而上面的螺母用1型标准螺母;有的为防止装错和保证下面的螺母有足够的强度,则采用两个等高的螺母(1型)
该结构简单、成本低、重量大,多用于低速重载或载荷平稳的场合 |
扣紧螺母
|
先用六角螺母紧固连接件,然后旋上GB 805扣紧螺母(扣紧螺母的螺纹有缺口,用以锁紧),并用手拧紧,再用扳手拧紧(约转过60º~90º)。松开扣紧螺母时,必须先拧紧六角螺母,使其与扣紧螺母之间产生间隙,然后才能拧下扣紧螺母,以免划伤螺栓螺纹
该结构防松性能良好,但不宜用于频繁装卸的场合 |
弹性垫圈
|
GB 860鞍形弹簧垫圈,GB 955波形弹性垫圈在一定的载荷条件下,弹性好,各种硬度的被连接件均可适用。工作中不会划伤被连接件表面,可用于经常拆卸的场合;常用于调整并紧固被连接件间的间隙之场合,以及低性能等级,如5.8及其以下的连接
GB861.1、GB862.1等齿形锁紧垫圈,依靠齿被压平产生的弹力,以及齿嵌入连接件和支承面产生的阻力起锁紧作用。由于齿形的强度较低,弹力也有限,一般适用于小规格、低性能等级的连接 GB 861.2、GB 862.2锯齿锁紧垫圈,又称错齿型,也是依靠齿形受压产生的弹力,以及齿嵌入连接件及支承面产生的阻力起锁紧作用。锯齿强度高,可适用于性能等级较高及较大的规格,能获得较好的防松效果 齿形与锯齿锁紧垫圈,均不宜于被连接件材料过硬或过软的场合,否则效果不佳 GB 956.1与GB 956.2之特点与上述情况类同,仅适用于沉头或半沉头螺钉 |
弹性垫圈
|
内齿的,适用于钉头直径dk较小的,如开槽圆柱头螺钉;还常用于因外观或防止钩挂异物等有要求的场合。外齿的因齿形处于较大力臂的部位,可获得最大的止退力矩 |
六角法兰面型式—无锁紧元件
|
GB 5787等六角法兰面螺栓、GB 6177六角法兰面螺母,具有加大的支承面直径(dw近似或大于2倍的螺纹直径),在一定的预紧力作用下,可获得足够的防松能力。如在其支承面上再制出齿纹,则放松能力成倍提高,又称为“三合一螺栓(母)”,即具有六角扳拧部分、加大支承面的功能,以及防松功能,三者合为一体。是当代最新型的六角扳拧紧固件的结构型式
这些型式适用于高强度(8.8或8级及其以上)紧固件在重要的连接场合使用,但比其他型式的成本高 |
标准六角头螺栓与螺母采用或省略防松元件的参考条件
|
防松元件的使用可能使预紧力出现较大的损失,而预紧力的损失,又增加了松动的可能,所以,在一定条件下可以省略防松元件
在螺栓承受轴向载荷的条件下,对8.8级及其以上的螺栓,其夹紧长度大于螺纹直径的3倍时,可以不采用防松元件。因为,在这种情况下,如能比较准确地控制预紧力,即使承受冲击载荷时,一般还能保证足够的残余预紧力,以阻止螺栓松动 对4.8、5.6和5.8级的螺栓,其夹紧长度大于螺纹直径的5倍时,同理,也可以不采用防松元件。在引进技术中,有的重要的螺栓,省略了以往采用开槽螺母及开口销锁紧的结构型式 但在螺栓承受径向载荷的条件下,或由于被连接件的弹性变形,使轴向作用力引起横向位移的情况下,必须采用防松元件 |
粘接型
| 结构 | 特点及应用 |
|---|---|
涂粘合剂
|
粘接螺纹方法简单、经济并有效。其防松性能与粘接剂直接相关,大体分为:低强度、中等强度和高温(承受100℃以上)条件,及可以拆卸或不可拆卸等要求,应分别选用适当的粘接剂 |
冲点铆接型
| 结构 | 特点及应用 |
|---|---|
端面冲点
|
在螺纹末端小径处冲点,可冲单点或多点,防松性能一般,只适用于低强度紧固件 |
铆接
|
螺栓杆末端外露(1~1.5)p长度,拧紧螺母后铆死,用于低强度螺栓,不拆卸的场合 |
有效力矩型
| 结构 | 特点及应用 |
|---|---|
尼龙圈锁紧螺母
|
锁紧部分是嵌装在螺母体上,没有内螺纹的尼龙圈。当外螺纹件拧入后,由于尼龙材料良好的弹性产生锁紧力,达到锁紧 该类螺母由于尼龙熔点的限制,一般最高工作温度应小于120℃,以100℃以下为宜。如遇特殊需要,改换材料可达240℃ 由于尼龙属惰性物质,不受工业中常用化学产品的腐蚀,但受无机酸、弱酸与强酸的腐蚀。因此,不可在镀镍、镀锌等酸槽中浸泡,即装尼龙圈之前应先完成螺母体的电镀,而装入尼龙圈之后不可再进行电镀 该种螺母经拧入、拧出400次以上,其性能基本稳定 |
带尼龙嵌件的锁紧螺栓或螺钉
|
锁紧部分是尼龙件,其尺寸与安装位置都影响锁紧性能。一般标准规定的安装位置如图所示,详细尺寸可参见JB/T 5399 该锁紧方式适用于非标准螺母或机体内螺纹。由于结构特点决定其使用的规格较小,以免影响螺杆强度 一般使用中应采用较高的内螺纹公差。粗牙为5H、6H;细牙为6H。内螺纹的有效螺纹长度等于或大于6倍螺距。螺孔必须制出倒角,以保证锁紧性能 |
